خازنهای سری
خازنهای سری مانند مقاومتهای موازی به هم متصل میشوند. خازنهای متصل به صورت سری

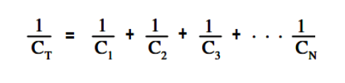
ظرفیت کل، C T ، برای خازنهای متصل به صورت سری، در معادله زیر نشان داده شده است.

وقتی فقط دو خازن به صورت سری قرار دارند، معادله بالا را میتوان به صورت زیر ساده کرد.

معادله فوق زمانی معتبر است که فقط دو خازن به صورت سری وجود داشته باشند.
وقتی همه خازنهای سری مقدار یکسانی داشته باشند، ظرفیت کل را میتوان با تقسیم مقدار خازن بر تعداد خازنهای سری، مطابق معادله زیر، بدست آورد.
C = مقدار هر خازن در سری،
N = تعداد خازنهای سری با مقدار یکسان.
خازنهای متصل به صورت موازی

خازنهای موازی مانند مقاومتهای سری با هم ترکیب میشوند. وقتی خازنها به صورت موازی متصل میشوند، ظرفیت کل، C T ، برابر با مجموع ظرفیتهای تک تک خازنها است که در معادله زیر آمده است.



